Home » Area Of Triangle Sine Formula Calculator » Area Of Triangle Sine Formula Calculator
Area Of Triangle Sine Formula Calculator
Many of the area calculations can be applied to them also.

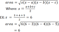
Area of triangle sine formula calculator. An online geometry calculator that uses herons formula to calculate the area of a triangle. An online calculator for the area of a triangle using sine formula. How to calculate the area of a triangle. The most common way to find the area of a triangle is to take half of the base times the height.
This free triangle calculator computes the edges angles and total area of a triangle. View a scaled diagram of the resulting triangle or explore many other math. Area of triangles without right angles. There are several ways to find the area of a triangle.
Knowing base and height. When we know the base and height it is easy. A rhombus is actually just a special type of parallelogram.









































