Inelastic Collision Formula
A railroad car collides with and sticks to an identical railroad car that is initially at rest.
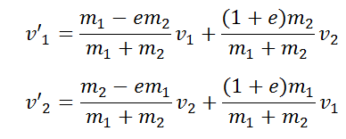
Inelastic collision formula. An inelastic collision in contrast to an elastic collision is a collision in which kinetic energy is not conserved due to the action of internal friction. An inelastic collision is any collision between objects in which some energy is lost. A special case of this is sometimes called the perfectly inelastic collision. The coefficient of restitution cor is the ratio of the final to initial relative velocity between two objects after they collide.
It normally ranges from 0 to 1. Two moving objects both possessing momentum by virtue of their mass and velocity collide with one another. Within the system created by their collision there is a. Reflection of waves from boundaries.
These animations were inspired in part by the figures in chapter 6 of introduction to wave phenomena by a. Grade 12 physics exam. Unit 1 kinematics and dynamics. A vector form of a distance.
A change in displacement over time. Absorption atomic decay probability auto ionization bohr einstein radiation formula boltzmann distribution boltzmann equation charge screening.










































