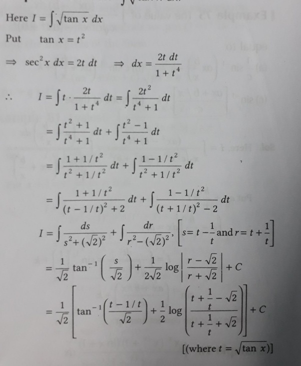
Home » Integral Of Root Tanx Root Cotx » Integral Of Root Tanx Root Cotx
Integral Of Root Tanx Root Cotx







.png)
.png)



.png)































