Ring Size Chart For Men
Use our diamond size chart to understand the millimeter mm size of each diamond shape.
![]()
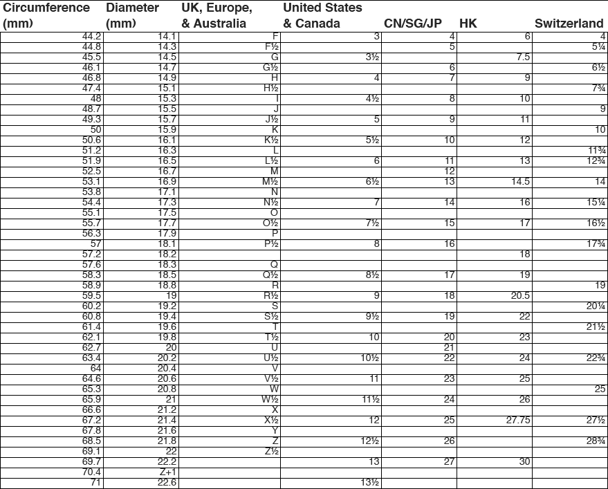
Ring size chart for men. Ring size conversion chart for us and foreign measuring systems. How do you get your ring size right when shopping for rings online. Finger sizes vary a lot so check your size before buying rings. Use our ring size conversion.
Get your size now view size chart for men and women the most common ring sizes for the most part women usually wear a five to seven ring size. With size six being. Find your right ring size with our free sizing tool. Get tips on how to measure ring size for wedding bands or engagement rings and learn more about blue niles free.
How do i determine my ring size. By far the most accurate way to find out your ring size is to use our physical ring sizer. Become an mro member by entering your. How to find your ring size.
Ordering a ring can be tricky if you arent sure about your ring size. While a jeweler can give you the most precise. 3 ring sizing chart. This is my favorite and the best way to tell what size your ring is.
Its simple and easy to use. Just print out the downloadable pdf file. Want to know the actual size of a 1 carat diamond on a hand.












































