Home » X2x3x 3x 2 2xx10 » X2x3x 3x 2 2xx10
X2x3x 3x 2 2xx10
Dana jest parabola o rownaniu yx28x 14.
X2x3x 3x 2 2xx10. 0 begin pgm gravieren mm 1 blk form 01 z x0 y 130 z 58 2 blk form 02 x170 y0 z0 3. Variablen definieren 5. 6 declare string qs1 m3 m4 m5. The following table develops progressively more sophisticated uses of maxima as a symbolic math tool.
Remember you do not need to use or memorize all of this table. Neverless 2003 04 15 1632. . Fxx 3 ax 2 5x8x1.
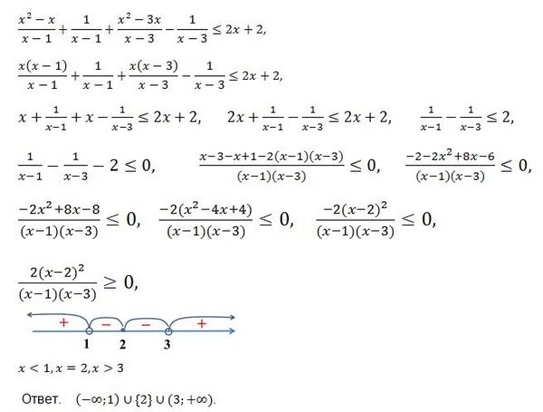
As n the error in the truncated series is asymptotically equal to the first omitted term. This is an example of an asymptotic expansion. Razobrany printsipy resheniya ratsionalnykh uravneniy kak tselykh tak i drobno ratsionalnykh.










































